研究トピックス
2026.01.31

精油の貯蔵と生合成

HRCでは、精油や心・からだ・肌にまつわるホリスティックな力を日々探究しています。
「精油は植物が作り出す成分の集合体である」ことは精油を扱う分野ではよく知られていることですが、実際にそれらの成分はどこでどのようにに貯蔵され、作られているのでしょうか。
今回は精油が生み出される過程について掘り下げてご紹介します。

  • 精油の貯蔵

    精油は、動けない植物が自分たちの身を守る、子孫を残すなど、生存戦略の一つとして作り出され、専用の貯蔵器官に蓄えられます。植物や部位により葉の外、中、皮の内側など、その貯蔵場所や形態は様々です。この貯蔵器官を大きく分けると表1のように分類できます。表皮細胞が形を変えた「腺鱗(glandular trichome)」と呼ばれる構造は頭の細胞とクチクラ(cuticle)の間に精油を貯めます。葉や果皮の内側に油滴のような形で貯めるものは「油腔(oil cavity)」や特に柑橘類における呼称として「油胞(oil vesicle)」、外側から透けて見える場合は「油点」などと呼ばれ、周りを取り囲む分泌細胞で精油が合成されると考えられています。セリ科や裸子植物には「油管(oil duct)」と呼ばれる管状の構造があり、周りの細胞からここに精油が分泌されると言われています。1)2)

    精油の貯蔵と生合成
  • 精油がつくられる場所

    精油はその貯蔵場所に隣接する分泌細胞でつくられると考えられており、生合成の詳細についても近年の研究で明らかになってきました。植物細胞は細胞壁と細胞膜に包まれており、その中には細胞小器官と呼ばれる様々な役割をもつ器官が細胞質(Cytosol)と呼ばれる基質に存在します。その中でも精油成分の生合成において重要な役割を果たしているのが色素体(Plastid)、細胞質、小胞体(ER: Endoplasmic Reticulum)の3か所です。精油成分は主にテルペノイド(モノテルペン、セスキテルペン、ジテルペン)とフェニルプロパノイドで構成されており、それぞれ別の場所で生合成されます。3)

    精油の貯蔵と生合成

    図1. 精油成分の生合成が行われる場所

  • 生合成・代謝経路

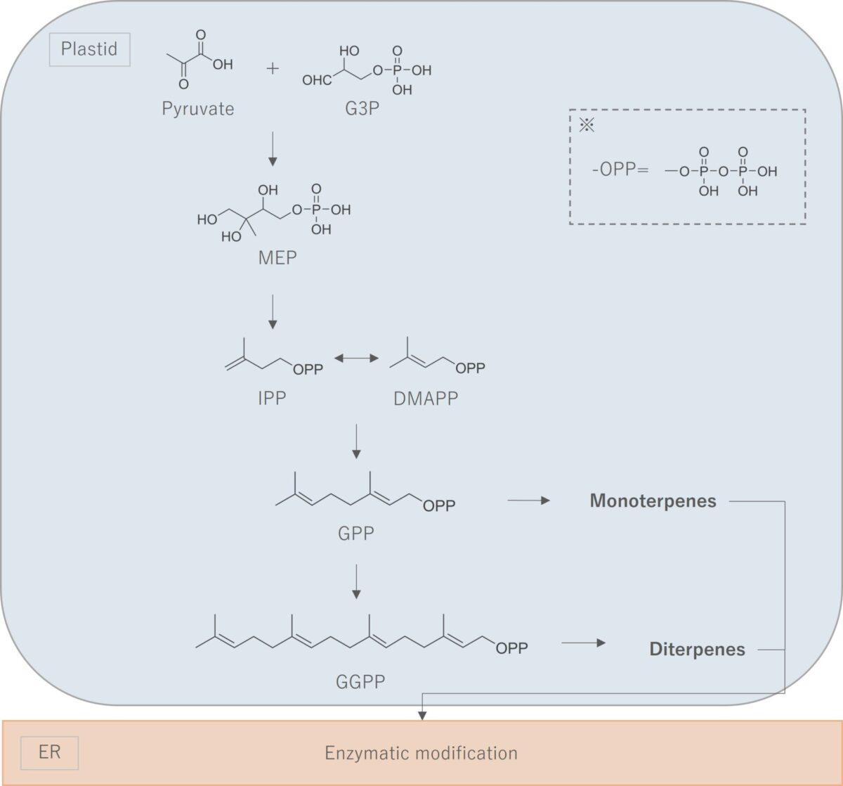
    ■ テルペノイド[モノテルペン・ジテルペン]
    テルペノイドの中でもモノテルペンとジテルペンは主に色素体で作られます(図2)。これらのテルペノイドは途中まで同じ経路を辿ります。この経路は中間体の名前を取って「MEP経路」と呼ばれたり、もともとメバロン酸経路を介すると思われていたことから「非メバロン酸経路」などと呼ばれることもあります。ここで作られたテルペノイドは小胞体の膜上で酸化や水酸化などの酵素的修飾、すなわち最後の加工工程を経て香りを持つ成分が出来上がります。4)5)

    図2中化合物
    ・Pyruvate…ピルビン酸
    ・G3P: glyceraldehyde 3-phosphate…グリセルアルデヒド-3-リン酸
    ・MEP: 2-C-methylerythritol 4-phosphate…2-メチルエリスリトール-4-リン酸
    ・GPP: geranyl pyrophosphate…ゲラニルピロリン酸
    ・GGPP: geranylgeranyl pyrophosphate…ゲラニルゲラニルピロリン酸

    精油の貯蔵と生合成

    図2 モノテルペンとジテルペンの生合成経路

  • ■ テルペノイド[セスキテルペン]
    セスキテルペンは細胞質で生合成されます(図3)。この経路は中間体の名前から「メバロン酸経路」と呼ばれています。途中で登場するIPPはMEP経路でも使用されることから、色素体と行き来する可能性があると報告されています。その後、セスキテルペンも小胞体で酵素的修飾を受けて香り成分が出来上がります。3)4)6)

     

    図3中化合物
    ・Acetyl-CoA…アセチルCoA
    ・MVA: mevalonate…メバロン酸
    ・IPP: isopentenyl pyrophosphate…イソペンテニルピロリン酸
    ・DMAPP: dimethylallyl pyrophosphate…ジメチルアリルピロリン酸
    ・FPP: farnesyl pyrophosphate…ファルネシルピロリン酸

    精油の貯蔵と生合成

    図3 セスキテルペンの生合成経路

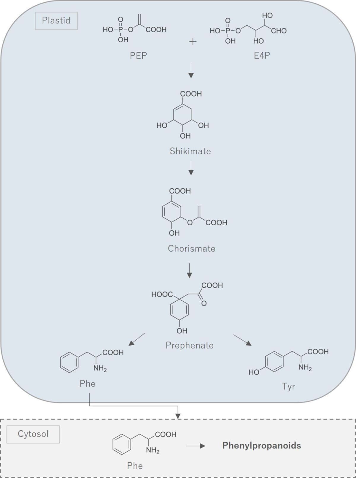
  • ■ フェニルプロパノイド
    フェニルプロパノイドは、その出発物質であるアミノ酸が色素体で作られたあと、細胞質でそれぞれの成分が合成されていきます(図4)。アミノ酸ができるまでの経路は中間体の名前から「シキミ酸経路」と呼ばれています。その後、種々のフェニルプロパノイドは細胞質で主にPheから様々な経路を経て合成されます。3)7)

     

    図4中化合物
    ・PEP: phosphoenolpyruvate…ホスホエノールピルビン酸
    ・E4P: erythrose 4-phosphate…エリエリスロース-4-リン酸
    ・Shikimate…シキミ酸
    ・Prephenate…プレフェン酸
    ・Phe: phenylalanine…フェニルアラニン
    ・Tyr: tyrosine…チロシン

    精油の貯蔵と生合成

    図4 フェニルプロパノイドの生合成経路

  • 今回は代表的な貯蔵形態や生合成経路についてご紹介しましたが、実際にはベンゼノイドや脂肪族化合物など、精油成分は他にも存在し、その合成経路も多岐にわたります。数え切れないほどの成分が様々な経路で生合成され、それぞれが貯蔵器官に集められて蓄えられているのです。植物体内ではこれらの過程と同時に糖からのエネルギー生成や植物ホルモンをはじめとする成長調節に関わる二次代謝産物の合成など、生命維持に必要な活動が並行して行われ、精油はその活動の中で作られてきます。瓶に入った「精油」の状態で嗅ぐと一つのまとまった香りとして感じられますが、それを構成するひとつひとつの成分が精油になっていく過程を知ることで、精油を生み出すことがいかに尊いことか感じられたのではないでしょうか。

参考文献

1) R. Crang et al., Springer Nature Switzerland AG, “Plant Anatomy”, 2018
2) Chen et al., Horticulture Research 12(5), 2025
3) Dudareva et al., New Phytologist 198 16–32, 2013
4) Lange et al., PNAS 97(6) 2934–2939, 2000
5) Lange et al., PNAS 97(24) 13172–13177, 2000
6) Laule et al., PNAS 100(11) 6866–6871, 2003
7) Maeda & Dudareva, Annu. Rev. Plant Biol. 63 73–105, 2012